• Предмет: Алгебра
  • Автор: dronluv
  • Вопрос задан 2 года назад

11 класс , решите пожалуйста

Приложения:

Ответы

Ответ дал: NNNLLL54
0

Ответ:

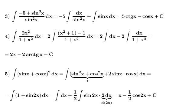
Непосредственное интегрирование .

\bf \displaystyle 3)\ \int \frac{-5+sin^3x}{sin^2x}\, dx=-5\int \frac{dx}{sin^2x}+\int sinx\, dx=5\, ctgx-cosx+C\\\\\\4)\ \int \frac{2x^2}{1+x^2}\, dx=2\int \frac{(x^2+1)-1}{1+x^2}\, dx=2\int dx-2\int \frac{dx}{1+x^2}=\\\\\\=2x-2\, arctg\, x+C\\\\\\5)\ \int (sinx+cosx)^2\, dx=\int (\underbrace{\bf sin^2x+cos^2x}_{1}+\underbrace{\bf 2\, sinx\cdot cosx}_{sin2x})\, dx=\\\\\\=\int (1+sin2x)\, dx=\int dx+\frac{1}{2}\int sin\, 2x\cdot \underbrace{\bf 2\, dx}_{d(2x)}=x-\frac{1}{2}\, cos2x+C      

\bf \displaystyle 7)\ \int \frac{9x^8+3x^2-1}{x^6}\, dx=\int (9x^2+3x^{-4}-x^{-6})\, dx=\\\\\\=9\cdot \frac{x^3}{3}+3\cdot \frac{x^{-3}}{-3}-\frac{x^{-5}}{-5}+C=3x^3-\frac{1}{x^3}+\frac{1}{5x^5}+C                      

Приложения:
Вас заинтересует