ПОМОГИТЕ РЕШИТЬ АЛГЕБРУ ЗА 8 КЛАСС!!!! ОЧЕНЬ НУЖНО!!! ПОЖАЛУЙСТА!!! ДАЮ 12 БАЛОВ!!!
№1. Задание: решите уравнение.
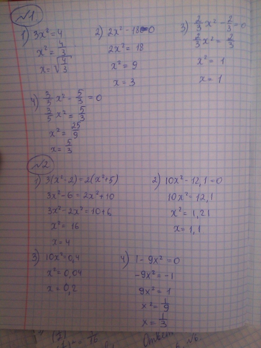
1)3x^2=4
2)2x^2-18=0
3) 2/3x^2-2/3=0
4) 3/5 x^2-5/3=0
№2. Задание: решите уравнение.
1) 3(x^2-2)=2(x^2+5)
2) 10x^2 - 12,1=0
3) 10x^2=0,4
4) 1 - 9x^2=0.
Заранее спасибо большое)))
Ответы
Ответ дал:
0
вот)) вроде вот так))
тут ничего сложного)
тут ничего сложного)
Приложения:

Ответ дал:
0
СПАСИБО БОЛЬШОЕ)))
Вас заинтересует
2 года назад
2 года назад
8 лет назад
8 лет назад
10 лет назад
10 лет назад
10 лет назад