Ответы
Ответ дал:
1
Ответ:
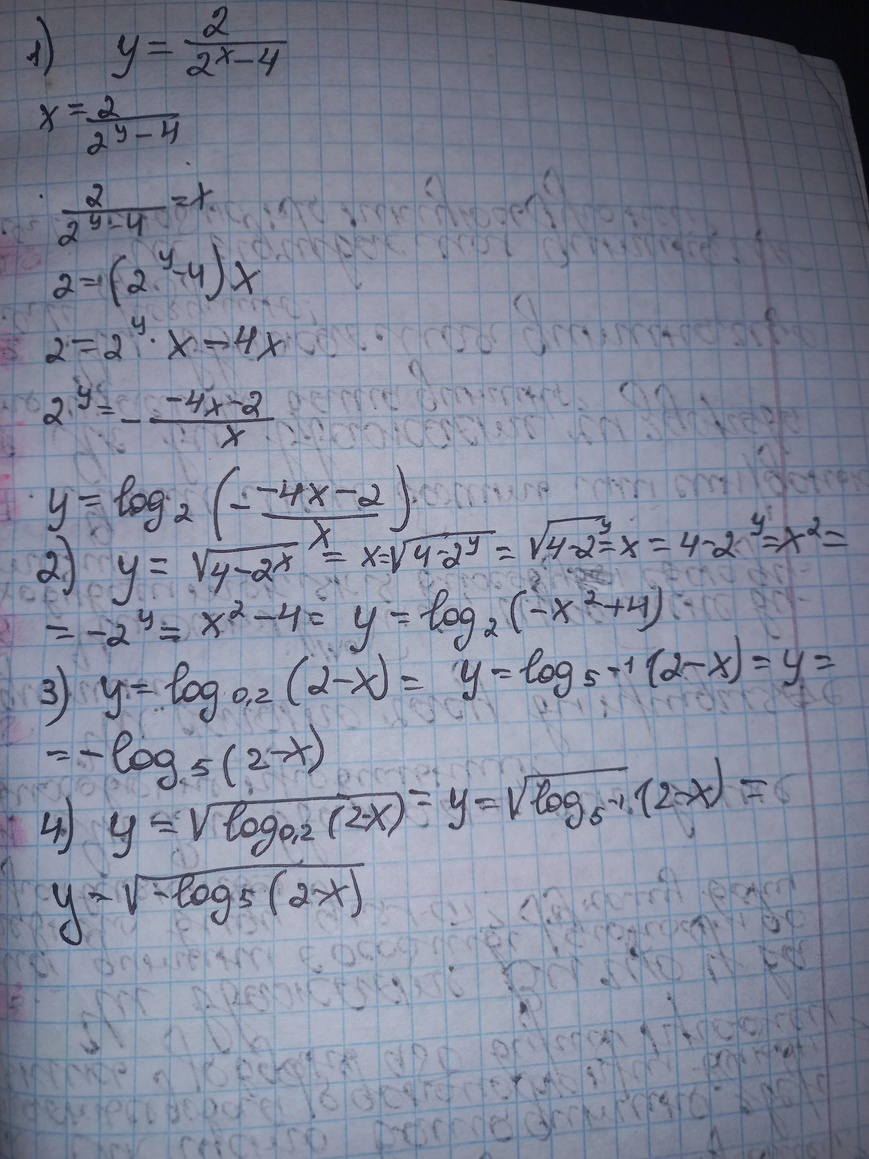
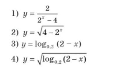
Сподіваюся,мій почерк буде зрозумілим
Приложения:

Вас заинтересует
1 год назад
3 года назад
3 года назад
8 лет назад
8 лет назад