• Предмет: Алгебра
  • Автор: Nua228
  • Вопрос задан 2 года назад

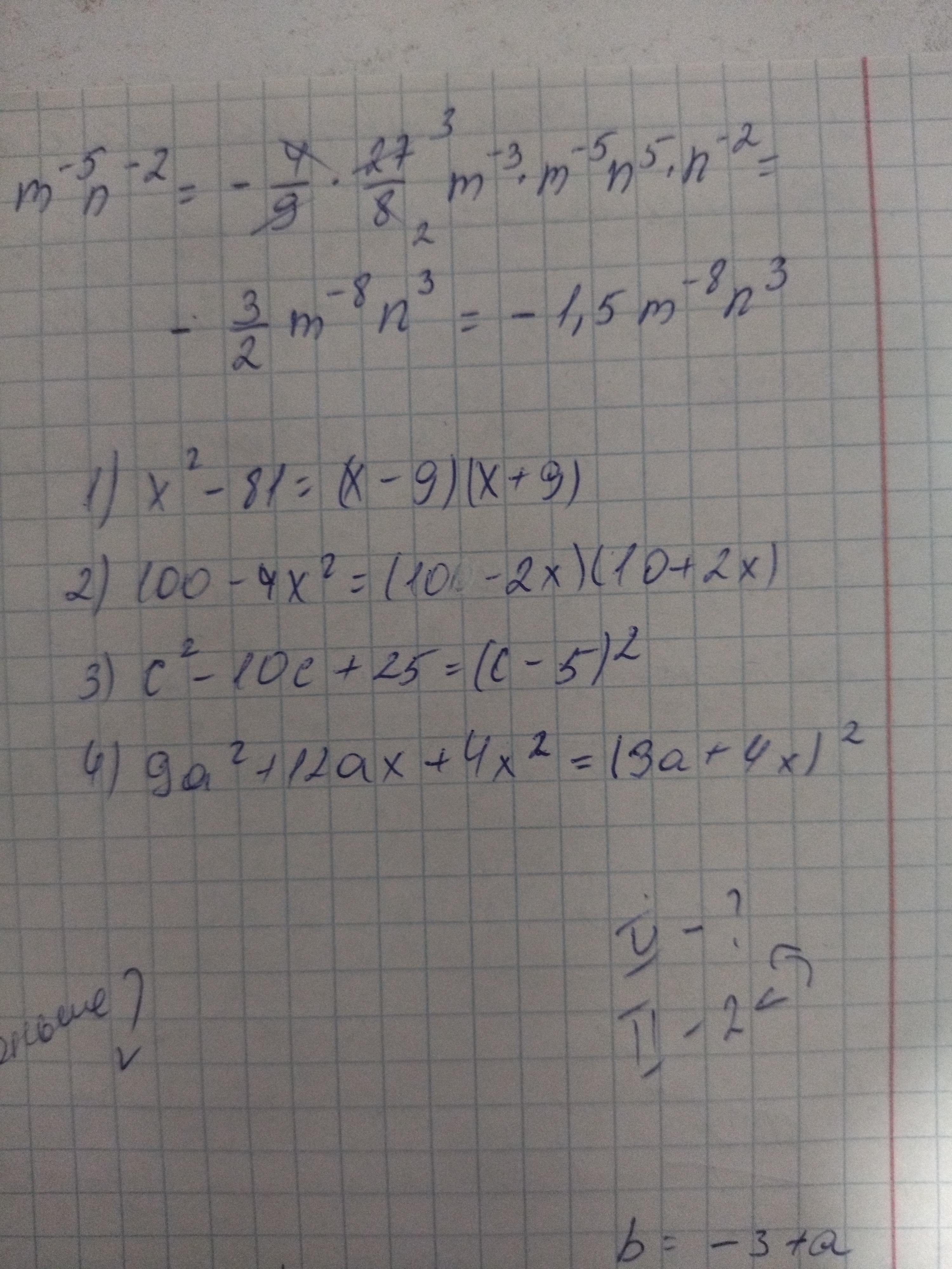
СРОЧНО!! Розкладіть на множники:
1) х²-81
2) 100-4х²
3) с²-10с+25
4) 9а² + 12ах + 4х²

Приложения:

Ответы

Ответ дал: Mashe4ka8
1

Объяснение:

1) x^2-81=(x-9)(x+9)

2) 100-4x^2=4x^2-100=(2x-10)(2x+10)

3) c^2-10c+25=(c-5)^2

4) 9a^2+12ax+4x^2=(3a+2x)^2


devora050826: Есть ошибка
Mashe4ka8: Где?
Ответ дал: devora050826
1

Ответ:

1)х^2-81=(х-9)(х+9)



Объяснение:

Приложения:

Mashe4ka8: Здесь ошибка
Вас заинтересует