• Предмет: Алгебра
  • Автор: olesyahdhfjfjfjfjf
  • Вопрос задан 2 года назад

Пожалуйста помогите решить

Приложения:

Ответы

Ответ дал: Alexander890
1

Ответ:

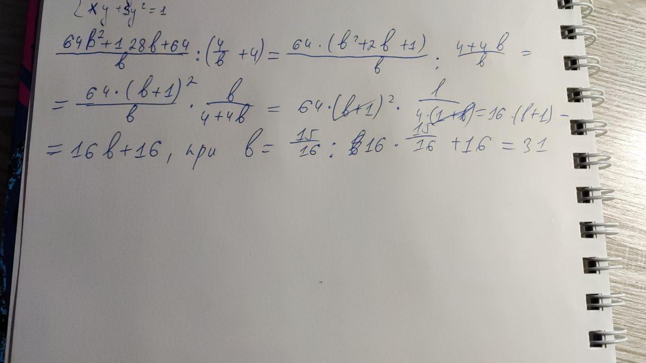
Расписал на фотографии.

Приложения:
Вас заинтересует