Ответы
Ответ дал:
1
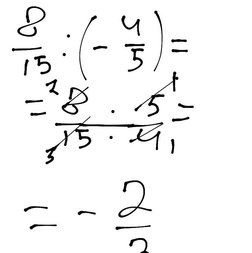
8/15:(-4/5)=8/15*(-5/4)
сокращаем:
2/3*(-1)=-2/3
Ответ: -2/3
Ответ дал:
0
Відповідь = -2/3, трохи не влізло в кадр , або можна привести в десятковий дріб і буде 0,6
Приложения:

Вас заинтересует
1 год назад
3 года назад
3 года назад
8 лет назад