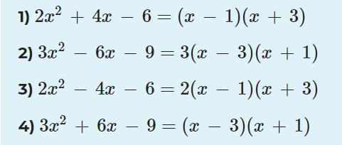
Вибрати квадратний тричлен, що правильно розкладений на множники!!!! срочно!!!!!
Приложения:

ГАЗ52:
2)3)
Ответы
Ответ дал:
0
Ответ:
Смотри решение на фото..
Приложения:

Вас заинтересует
1 год назад
1 год назад
1 год назад
1 год назад
3 года назад
8 лет назад