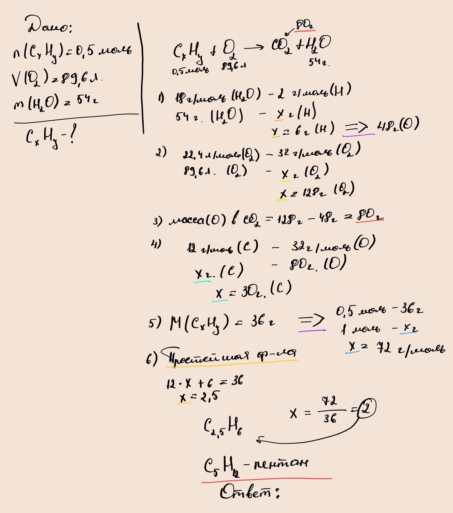
При сжигании 0,5 моль углеводорода израсходовали кислород объемом 89,6л.
(н.у.). При этом образовался углекислый газ и вода массой
54 г.
Определите формулу углеводорода.
Kads1408:
это масса воды и угл газа 54? или только воды?
Ответы
Ответ дал:
0
Ответ:
.
Объяснение:
Приложения:

Вас заинтересует
1 год назад
1 год назад
1 год назад
3 года назад
3 года назад
8 лет назад