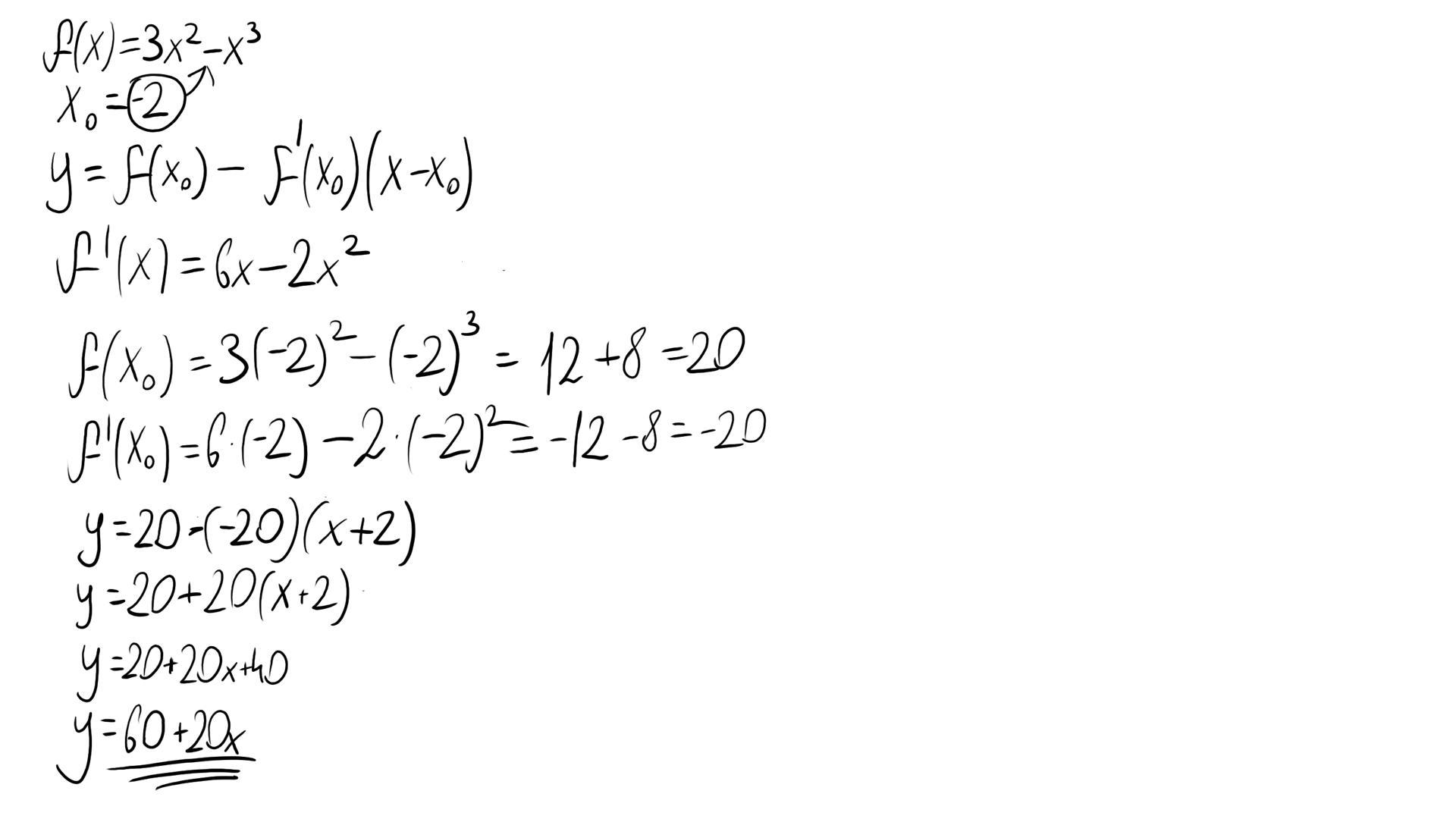
Знайти рівняння дотичної до графіка функції f(x)=3x^2-x^3
У точці з абсцесом x0=-2
Якщо не зрозуміло та напишіть
Будь ласка виконайте це важка контрольна ця контрольна впливає на мою остаточну оцінку
Приложения:

Ответы
Ответ дал:
0
Вiдповiдь з рiшенням на фото:
Приложения:

Вас заинтересует
1 год назад
1 год назад
1 год назад
3 года назад
8 лет назад