• Предмет: Математика
  • Автор: Billy1356
  • Вопрос задан 2 года назад

Математика 11 клас.

Відповідь має бути повною
(Вирішити всі 3 завдання)


Завдання:

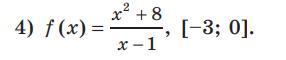
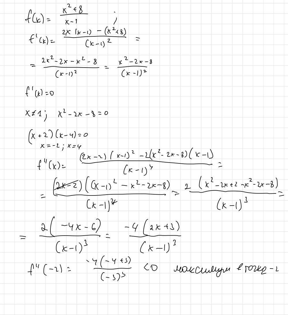
1. Малюнок

Приложения:

Ответы

Ответ дал: emir05051
1

Решения в закрепленных файлах

Приложения:

aarr04594: Ви не відповіли на головне питання: найбільше, найменше ЗНАЧЕННЯ ФУНКЦІЇ на даному проміжку .
Ответ дал: aarr04594
1

Відповідь: фото

Покрокове пояснення:

розв'язання завдання додаю . Для визначення найбільшого, найменшого значень функції малюнок не потрібен.



Приложения:
Вас заинтересует