• Предмет: Алгебра
  • Автор: donganyegor
  • Вопрос задан 2 года назад

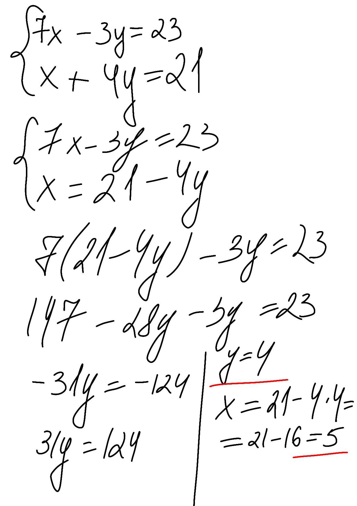
Розвяжіть систему рівнянь способом підстановки

Приложения:

Ответы

Ответ дал: lizavisocanska
0

Ответ:

відповідь на фото

Приложения:
Вас заинтересует