• Предмет: Математика
  • Автор: serbakk00
  • Вопрос задан 2 года назад

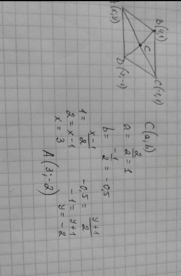
Чотирикутник АВСД-паралелограм, В(4:1), С(-1:1), Д(-2:-2).Знайдіть координати вершини А​

Ответы

Ответ дал: azasks009
1

Пошаговое объяснение:

.......................

Приложения:
Вас заинтересует