Ответы
Ответ дал:
1
Ответ:
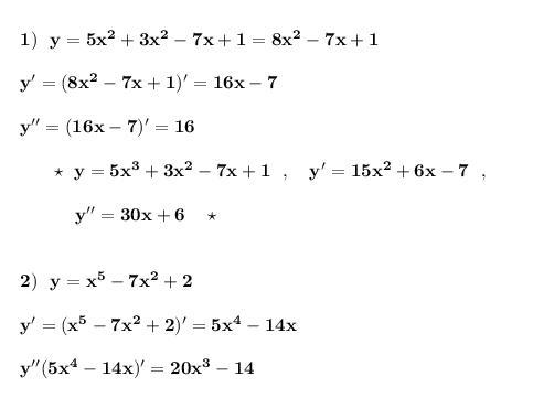
Производная 2-го порядка равна производной от производной первого порядка : .
Приложения:

Ответ дал:
1
Решение на фото, если что непонятно, пиши)
Приложения:

Вас заинтересует
1 год назад
1 год назад
1 год назад
1 год назад
3 года назад
8 лет назад