Ответы
Ответ дал:
0
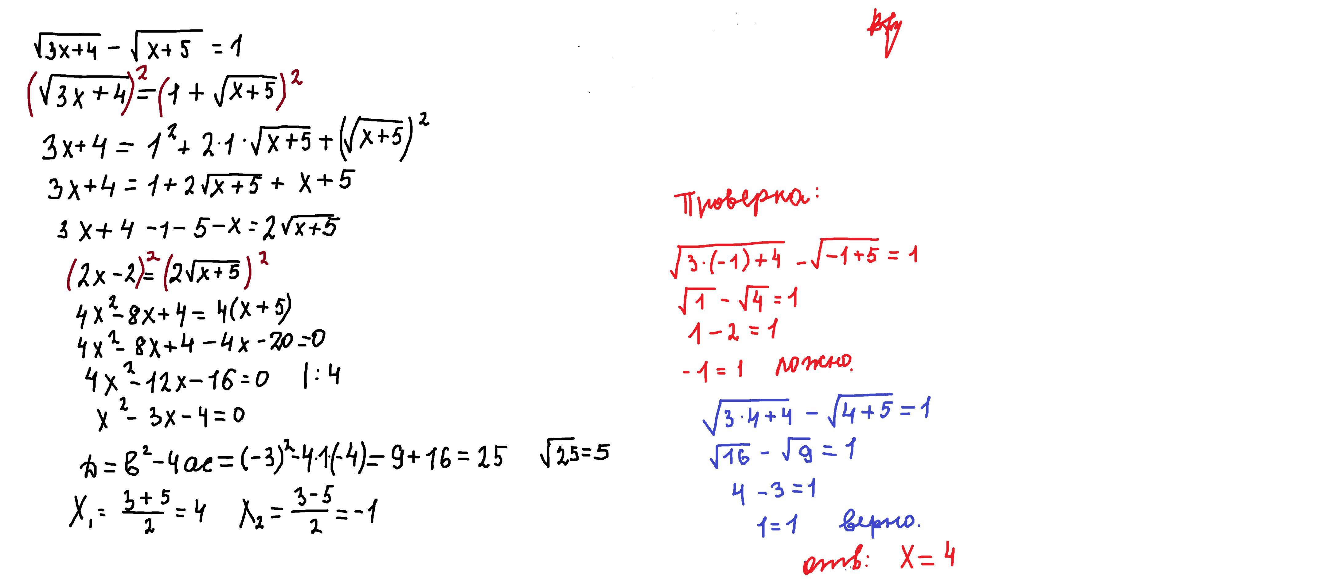
Ответ:
х=4
Объяснение:
решение внизу,где не понятно-спрашивайте
Приложения:

Вас заинтересует
1 год назад
1 год назад
1 год назад
1 год назад
3 года назад
8 лет назад