• Предмет: Алгебра
  • Автор: jhgjhghj
  • Вопрос задан 2 года назад

Помогите плиз очень срочно

Приложения:

Ответы

Ответ дал: Alexander890
0

Ответ:

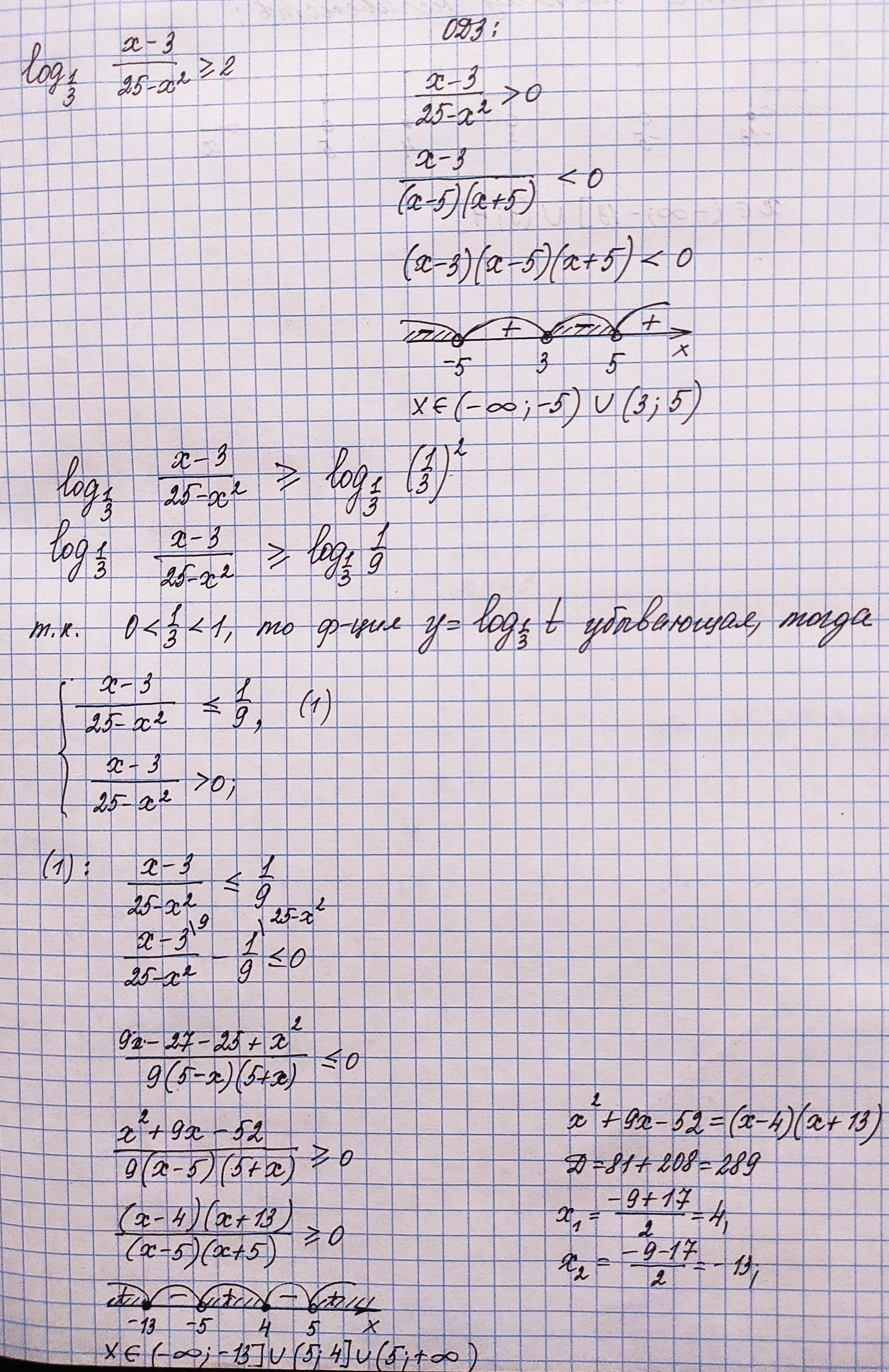
Расписал на фотографии.

Приложения:
Ответ дал: matilda17562
0

Ответ:

(- ∞ ; - 13] U (3 ; 4] .

Объяснение:

см. прикреплённые изображения

Приложения:
Вас заинтересует