• Предмет: Математика
  • Автор: canalpominecrafteze
  • Вопрос задан 2 года назад

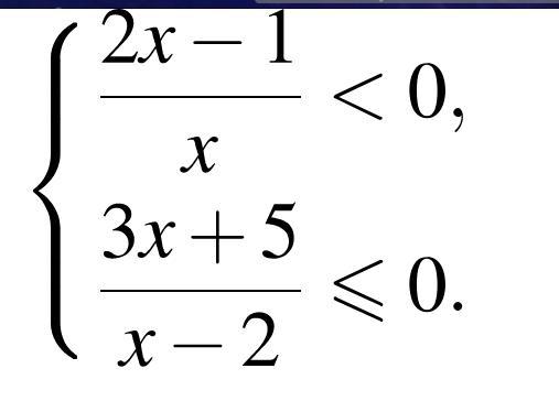
Решите систему неравенств:

Приложения:

Ответы

Ответ дал: сок111213
0

\displaystyle\bf\\\left \{ {{ \frac{2x - 1}{x}  < 0} \atop { \frac{3x + 5}{x - 2} \leqslant 0  }} \right. \\ \\ 1) \:  \frac{2x - 1}{x}  < 0 \\ x(2x - 1) < 0 \\ x(x - 0.5) < 0 \\  +  +  + (0) -  -  - (0.5) +  +  +  \\ 0 < x < 0.5 \\  \\ 2) \:  \frac{3x + 5}{x - 2}  \leqslant 0 \\  \frac{x + 1 \frac{2}{5} }{x - 2}  \leqslant 0 \\ \displaystyle\bf\\\left \{ {{(x + 1 \frac{2}{3})(x - 2) \leqslant 0 } \atop {x\neq2 }} \right. \\ \\  +  +  +  + [ - 1 \frac{2}{3} ] - -   -  - (2) +  +  +  +  \\  - 1 \frac{2}{3}  \leqslant x < 2 \\ \displaystyle\bf\\3) \: \left \{ {{0 < x < 0.5} \atop { - 1 \frac{2}{3}   \leqslant x < 2}} \right. \\ \\ x \: \epsilon \: (0; \: 0.5)

Вас заинтересует