Ответы
Ответ дал:
1
Ответ: 2 Объяснение внизу
Приложения:

Ответ дал:
1
Ответ:
2.
Объяснение:
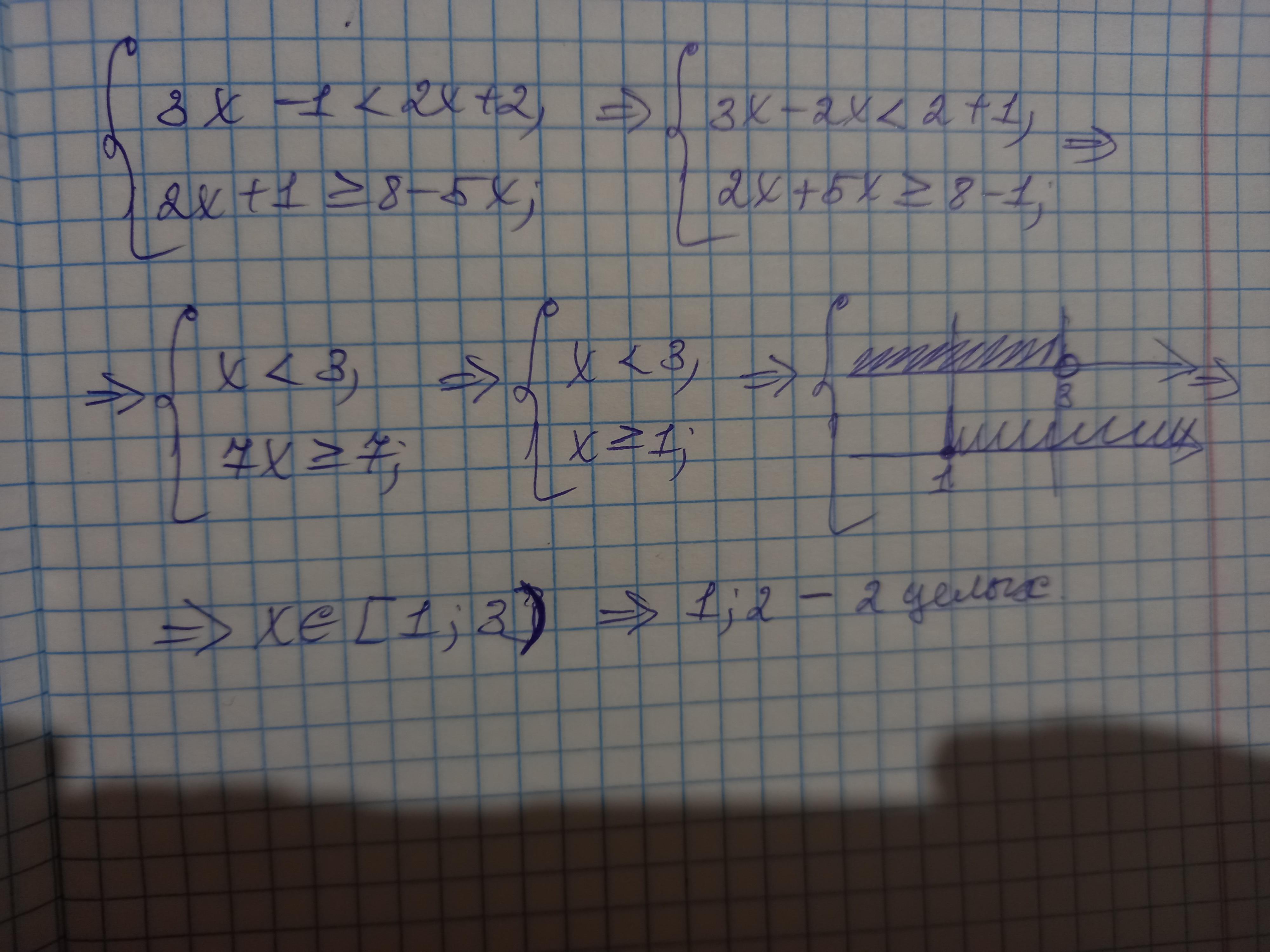
{ 3х - 1 < 2х + 2,
{ 2х + 1 ≥ 8 - 5х;
{ 3х - 2х < 1 + 2,
{ 2х + 5х ≥ 8 - 1;
{х < 3,
{ 7х ≥ 7;
{ х < 3,
{ х ≥ 1.
1 ≤ х < 3
х є [1; 3)
Целыми решениями системы являются числа:
1; 2. Их два.
Вас заинтересует
1 год назад
1 год назад
1 год назад
1 год назад
3 года назад
3 года назад