• Предмет: Алгебра
  • Автор: milanasavorskaa
  • Вопрос задан 2 года назад

помогите срочно нужно !!!​

Приложения:

Ответы

Ответ дал: сок111213
0

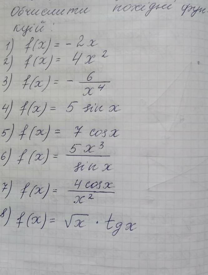
1) f(x) = - 2x

f'(x) = - 2

2) f(x) = 4x²

f'(x) = 2 × 4x = 8x

3)

f(x) =  -  \frac{6}{x {}^{4} }  =  - 6 {x}^{ - 4}  \\ f'(x) =  - 4 \times ( - 6)x {}^{ -4  - 1}  = 24 {x}^{ - 5}  =  \frac{24}{ {x}^{5} }

4) f(x) = 5sinx

f'(x) = 5cosx

5) f(x) = 7cosx

f'(x) = 7 × (-sinx) = - 7sinx

6)

f(x) =  \frac{5 {x}^{3} }{ \sin(x) }  \\ f'(x) =  \frac{(5 {x}^{3}) '\sin(x)  - ( \sin(x))' \times 5 {x}^{3}   }{ \sin {}^{2} (x) }  =  \\  =  \frac{15 {x}^{2}  \sin(x) - 5 {x}^{3} \cos(x)   }{ \sin {}^{2} (x) }

7)

f(x) =  \frac{4 \cos(x) }{ {x}^{2} }  \\ f'(x) =  \frac{ {x}^{2} (4 \cos(x) ') -4 \cos(x)  ( {x}^{2}) '}{( {x}^{2}) {}^{2}  }  =  \\  =  \frac{ - 4 {x}^{2}  \sin(x)  - 8x \cos(x) }{ {x}^{4} }

8)

f(x) =  \sqrt{x}  \times  \tan(x)  \\ f'(x) = ( \sqrt{x} ) '\tan(x)  + ( \tan(x) ) '\sqrt{x}  =  \frac{ \tan(x) }{ 2\sqrt{x} }  +  \frac{ \sqrt{x} }{ \cos {}^{2} (x) }

Вас заинтересует