• Предмет: Математика
  • Автор: russkiyandrey2016
  • Вопрос задан 2 года назад

Допоможіть будь ласка, ДАЮ 100 БАЛІВ

Приложения:

Ответы

Ответ дал: Reideen
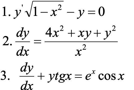
1

Ответ:

  1. \displaystyle \ln y=\arcsin x+C
  2. \displaystyle \frac{1}{2} \mathtext{arctg}  \frac{y}{2x} =\ln x+C
  3. \displaystyle y=uv=(e^x+C)\cos x

Пошаговое объяснение:

1. y'\sqrt{1-x^2} -y=0 - уравнение с разделяющимися переменными

\displaystyle \frac{dy}{dx}\sqrt{1-x^2}  -y=0\\\frac{dy}{dx}=\frac{y}{\sqrt{1-x^2} }  \\\frac{dy}{y} =\frac{dx}{\sqrt{1-x^2} } \\\int\limits {\frac{dy}{y} } =\int\limits {\frac{dx}{\sqrt{1-x^2} } } \\\\\ln y=\arcsin x+C

2. \displaystyle \frac{dy}{dx}=\frac{4x^2+xy+y^2}{x^2} - однородное уравнение первого порядка

Покажем, что уравнение действительно однородное:

\displaystyle \frac{dy}{dx}=\frac{4(\lambda x)^2+\lambda x \cdot \lambda y+(\lambda y)^2}{(\lambda x)^2}=\frac{\lambda ^2(4x^2+xy+y^2)}{\lambda ^2 x^2}=\frac{4x^2+xy+y^2}{x^2}

При подстановке x\rightarrow \lambda x, y\rightarrow \lambda y в результате упрощений сократились все \lambda, значит, уравнение однородное.

Абсолютно все однородные уравнения решаются при помощи единственной замены: y=xt, y'=t'x+t.

Замена:

\displaystyle y'=\frac{4x^2+xy+y^2}{x^2}\\t'x+t=\frac{4x^2+x\cdot xt+(xt)^2}{x^2} \\t'x+t=4+t+t^2\\t'x=4+t^2

Разделяем переменные:

\displaystyle \frac{dt}{dx}=\frac{4+t^2}{x}  \\\frac{dt}{4+t^2}=\frac{dx}{x}  \\\int\limits {\frac{dt}{4+t^2}} =\int\limits {\frac{dx}{x} } \\\frac{1}{2} arctg  \frac{t}{2} =\ln x+C

Обратная замена:

\displaystyle \frac{1}{2} \mathtext{arctg}  \frac{y}{2x} =\ln x+C

3. \displaystyle \frac{dy}{dx} +y \mathtext{tg} x=e^x\cos x - линейное неоднородное уравнение первого порядка

Линейные неоднородные уравнения первого порядка решаются также при помощи единственной замены: y=uv, y'=u'v+uv'.

Замена:

\displaystyle y'+y\mathtext{tg}x = e^x\cos x\\u'v+uv'+uv\mathtext{tg}x=e^x\cos x\\u'v+u(v'+v\mathtext{tg}x)=e^x\cos x\\\left \{ {{v'+v\mathtext{tg}x=0} \atop {u'v=e^x\cos x}} \right.

Решаем первое уравнение системы (уравнение с разделяющимися переменными):

\displaystyle v'+v\mathtext{tg}x=0\\\frac{dv}{dx} =-v\mathtext{tg}x\\\frac{dv}{v} =-\mathtext{tg}xdx \\\int\limits {\frac{dv}{v}} =-\int\limits {\mathtext{tg}xdx}\\\int\limits {\frac{dv}{v}} =-\int\limits {\frac{\sin xdx}{\cos x}}\\\int\limits {\frac{dv}{v}} =\int\limits {\frac{d\cos x}{\cos x}}\\\ln v=\ln(\cos x)\\\boxed{v=\cos x}

Подставляем v во второе уравнение системы (тоже с разделяющимися переменными):

\displaystyle u'v=e^x\cos x\\u'\cos x =e^x\cos x\\\frac{du}{dx} =e^x\\du=e^xdx\\\int\limits {du} =\int\limits {e^xdx} \\\boxed{u=e^x+C}

Обратная замена:

y=uv=(e^x+C)\cos x

#SPJ1

Вас заинтересует