ДОПОМОЖІТЬ БУДЬ ЛАСКААААА
Знайти площу фігури обмеженої графіками функції
y=x2-3x+2 і y=x2-5x+6
(Виконайте розв'язання власноруч, запишіть з поясненням і обґрунтуванням.)
aarr04594:
Чи немає в якійсь функції "-" перед х²????
Ответы
Ответ дал:
1
Ответ:
Пошаговое объяснение:
Приложения:


Ответ дал:
1
Відповідь:
Покрокове пояснення:
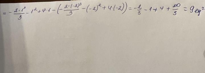
якщо знаходимо площу фігури, обмеженою графіками квадратичних функцій, то можна графіки не будувати або показати схематично. Межі інтегрування визначити аналітично.
Приложения:

Вас заинтересует
1 год назад
1 год назад
1 год назад
3 года назад
3 года назад
8 лет назад