Ответы
Ответ дал:
0
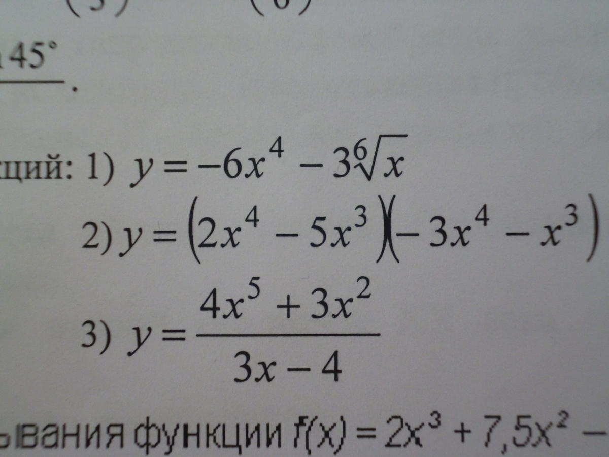
1) y' = -24x^3 - 0.5x^(-5/6)
2) y = 6x^8 - 2x^7 + 15x^7 + 5x^6 = 6x^8 + 13x^7 + 5x^6
y' = 48x^7 + 91x^6 + 30x^5
3) y' = ((20x^4 + 6x)(3x - 4) - 3*(4x^5 + 3x^2))/(3x - 4)^2 = (60x^5 - 80x^4 + 18x^2 - 24x - 12x^5 - 9x^2)/(3x - 4)^2 = (48x^5 - 80x^4 + 9x^2 - 24x)/(3x - 4)^2
2) y = 6x^8 - 2x^7 + 15x^7 + 5x^6 = 6x^8 + 13x^7 + 5x^6
y' = 48x^7 + 91x^6 + 30x^5
3) y' = ((20x^4 + 6x)(3x - 4) - 3*(4x^5 + 3x^2))/(3x - 4)^2 = (60x^5 - 80x^4 + 18x^2 - 24x - 12x^5 - 9x^2)/(3x - 4)^2 = (48x^5 - 80x^4 + 9x^2 - 24x)/(3x - 4)^2
Вас заинтересует
3 года назад
3 года назад
8 лет назад
8 лет назад
11 лет назад
11 лет назад