• Предмет: Алгебра
  • Автор: yhjszfr9b5
  • Вопрос задан 2 года назад

Помогите пожалуйста дам 50 балов

Приложения:

Ответы

Ответ дал: larisaserova53
1

Ответ:

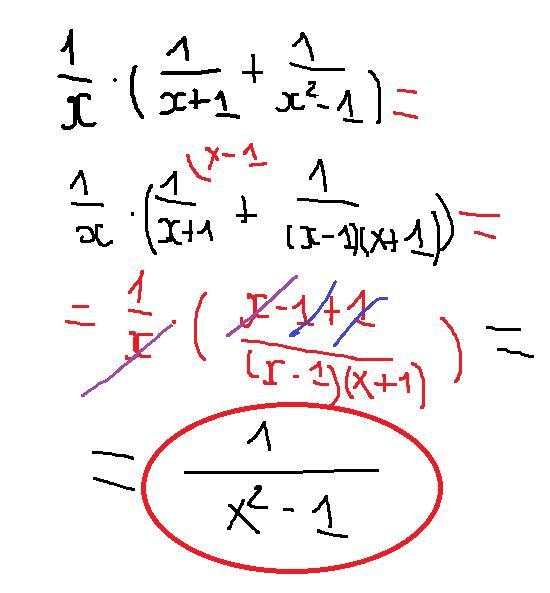
Смотри решение на фото..

Приложения:
Ответ дал: telikmilk
1

Відповідь:

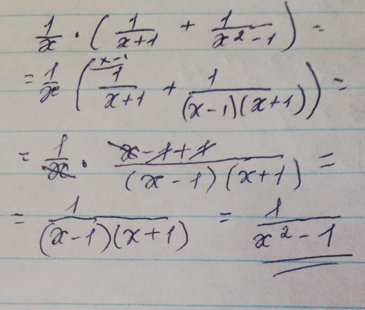
на фото.

Пояснення:

Був радий допомогти !

Наперед дякую за ♛

Приложения:
Вас заинтересует