• Предмет: Алгебра
  • Автор: 5Nastya05
  • Вопрос задан 2 года назад

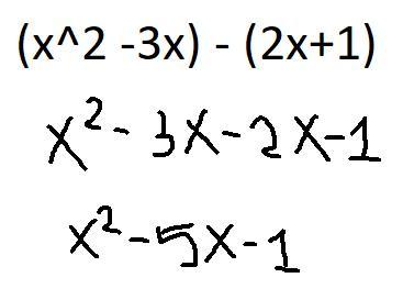
Упростите выражение: (х^2 -3х) - (2х+1).
с решением, пожалуйста​

Ответы

Ответ дал: telikmilk
1

Відповідь:

на фото

если тлько упростить, то так

Пояснення:

Приложения:
Вас заинтересует