• Предмет: Математика
  • Автор: Ivanna6996
  • Вопрос задан 2 года назад

Розвяжите пожалуйста

Приложения:

Ответы

Ответ дал: charodeisound
1

Відповідь:

66,5

Покрокове пояснення:

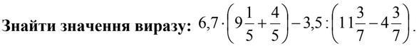
6,7·(9 1/5+4/5)-3,5÷(11 3/7-4 3/7)

преобразуйте выражение

6,7(46/5+4/5)-3,5÷(80/7-31/7)

вычислите сумму

вычислите разность

6,7·10-3,5÷7

вычислите

и выполните деление

67-0,5

вычислите

решение

66,5

Вас заинтересует