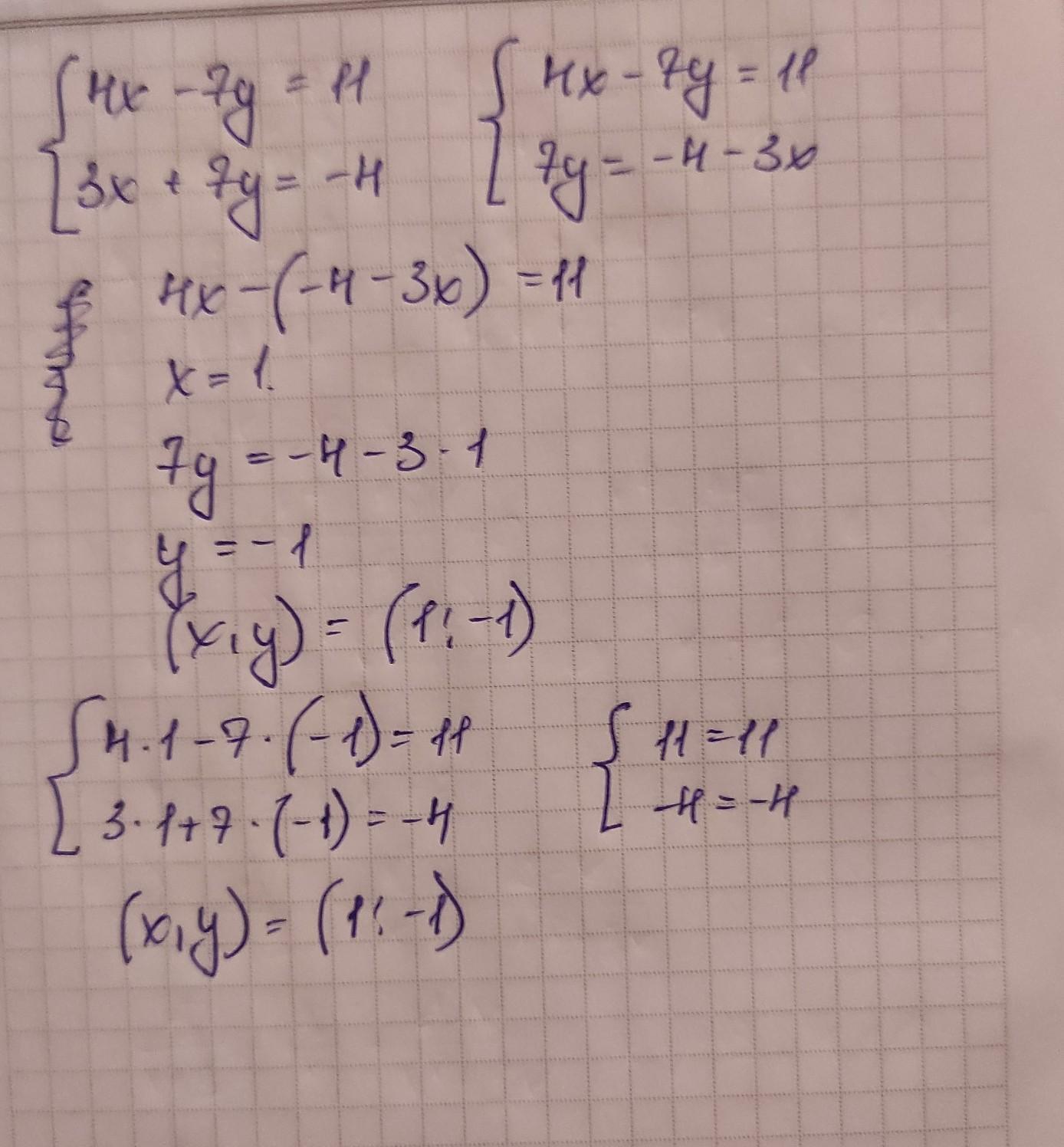
Розв`яжіть систему рівнянь: {4x - 7y = 11 { 3x + 7y = - 4
Врианты: (-1;-1)
(1;-1)
(-1;1)
(1;1)
срочно даю 50 баллов
Ответы
Ответ дал:
0
Объяснение:
Ответ: (1;-1)........
Приложения:

Вас заинтересует
1 год назад
1 год назад
1 год назад
3 года назад
8 лет назад