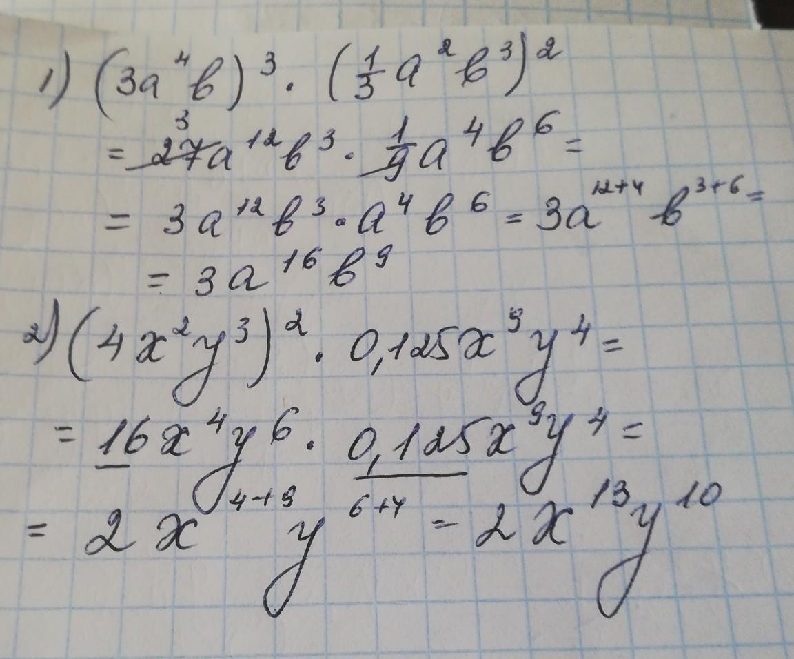
подайте у вигляді многочлена стандартного вигляду вираз 1)3a^4b)^3*(1/3a^2b^3)^2 2)(4x^2y^3)^2*0,125x^9y^4. Повна відповідь. ПЖ
Ответы
Ответ дал:
0
Ответ:
Смотри решение на фото..
Приложения:

Вас заинтересует
1 год назад
1 год назад
1 год назад
1 год назад
3 года назад
3 года назад