Ответы
Ответ дал:
0
Ответ:
помог чем смог
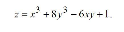
Пошаговое объяснение:
пример достаточно лёгкий
Приложения:

Вас заинтересует
1 год назад
1 год назад
1 год назад
3 года назад
3 года назад
8 лет назад