• Предмет: Алгебра
  • Автор: antongivon123
  • Вопрос задан 2 года назад

нужно оченень срочно пжпжпжпжп даю 70б​

Приложения:

Ответы

Ответ дал: Пеппер
0

Ответ:

Объяснение:

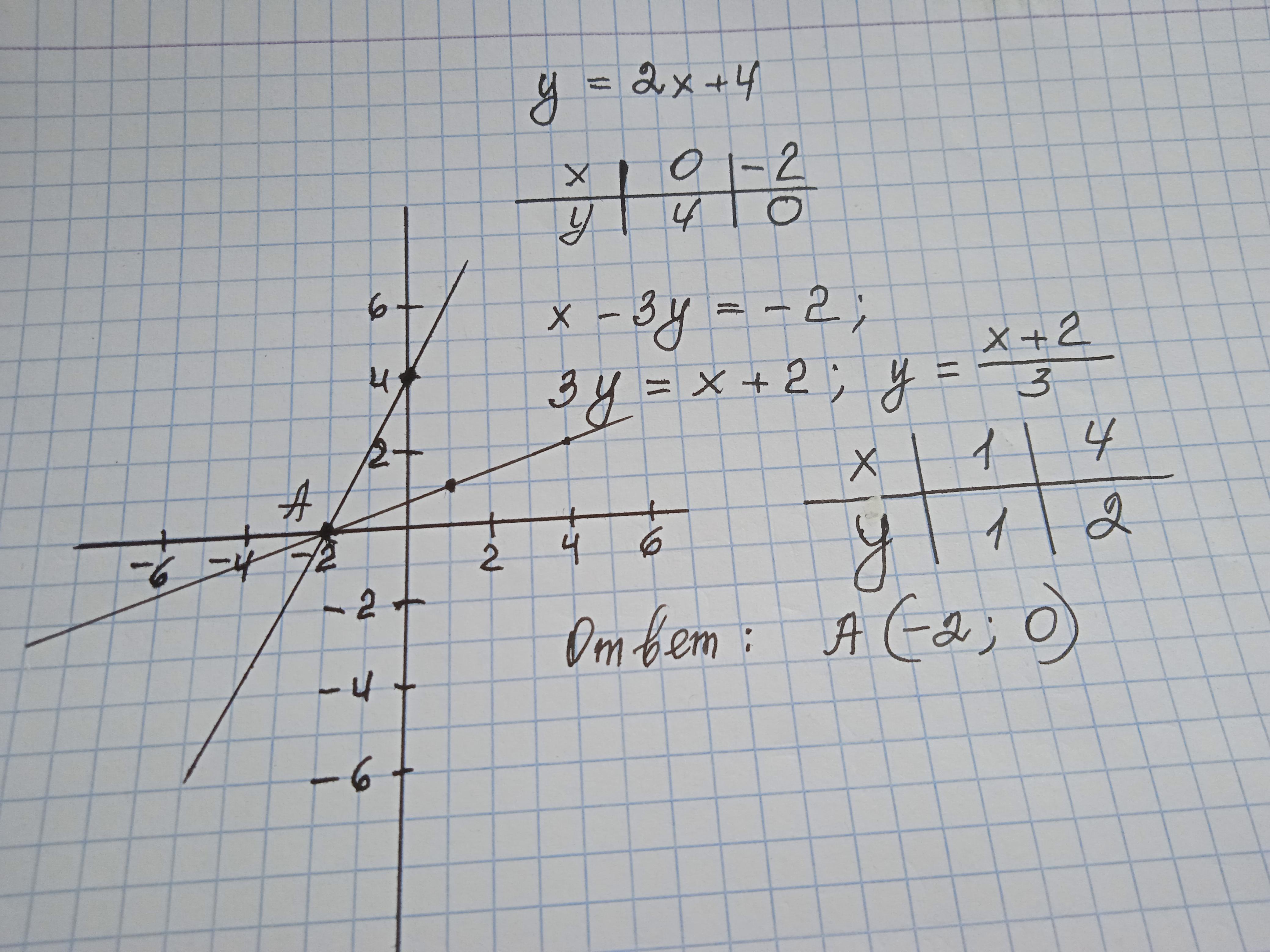
 у-2х=4

-3у+х=-2

у=2х+4

-3(2х+4)+х=-2

у=2х+4

-6х-12+х=-2

у=2х+4

-5х=10;  х=-2

х=-2

у=-2*2+4=0

Ответ: (-2; 0)

х-4у=9 (*-3)

3х+2у=13

-3х+12у=-27

3х+2у=13

      14у = -14;  у=-1

х-4(-1)=9; х+4=9; х=5

Ответ: (5; -1)

Приложения:
Вас заинтересует