• Предмет: Алгебра
  • Автор: qwzxia
  • Вопрос задан 2 года назад

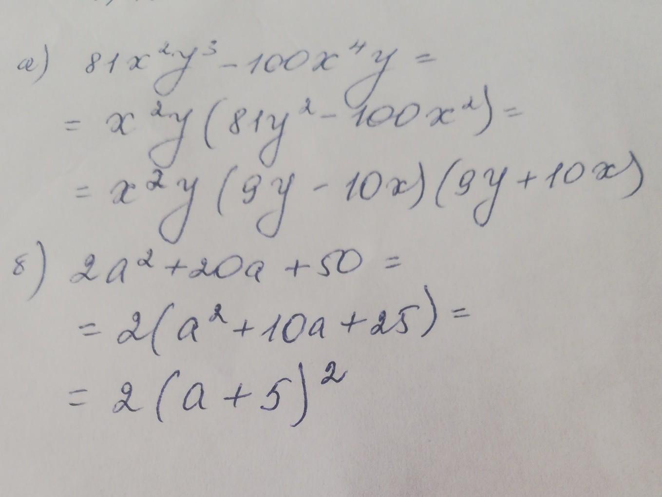
розкласти на множники:
а) 81х²у³-100х⁴у
б) 2а²+20а+50
срочно, будь ласка

Ответы

Ответ дал: larisaserova53
1

Ответ:

Смотри решение на фото..

Приложения:
Ответ дал: artyomrudcov
1

Відповідь:а) 81х²у³-100х⁴у = (9ху)(9ху² - 10х²)

Пояснення:б) 2а² + 20а + 50 = 2(a² + 10a + 25) = 2(a + 5)²

Вас заинтересует