Ответы
Ответ дал:
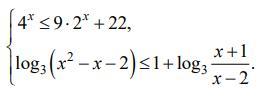
1
Ответ:
Приложения:


holymollyse:
можешь объяснить, пожалуйста, как ты решил с логарифмами во втором неравенстве? типа откуда там появился второй логарифм и тп..
Вас заинтересует
1 год назад
1 год назад
1 год назад
1 год назад
3 года назад
3 года назад