• Предмет: Алгебра
  • Автор: gw22azarovaanhelina
  • Вопрос задан 2 года назад

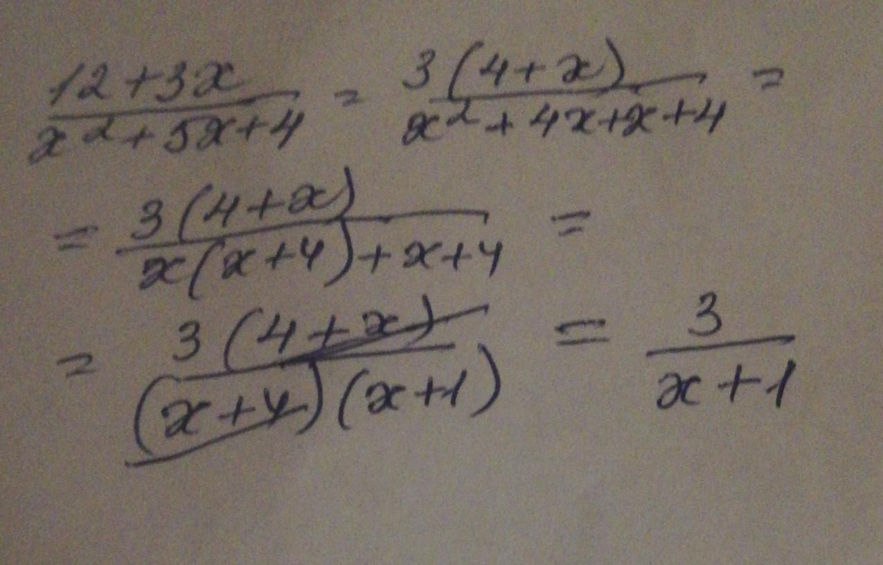
Скоротити дріб: 12+3x/x^2+5x+4

Ответы

Ответ дал: larisaserova53
1

Ответ:

Смотри решение на фото..

Приложения:

gw22azarovaanhelina: Дуже дякую, можеш вирішити інші питання які є на моєму аккаунті??
Вас заинтересует