• Предмет: Алгебра
  • Автор: gw22azarovaanhelina
  • Вопрос задан 2 года назад

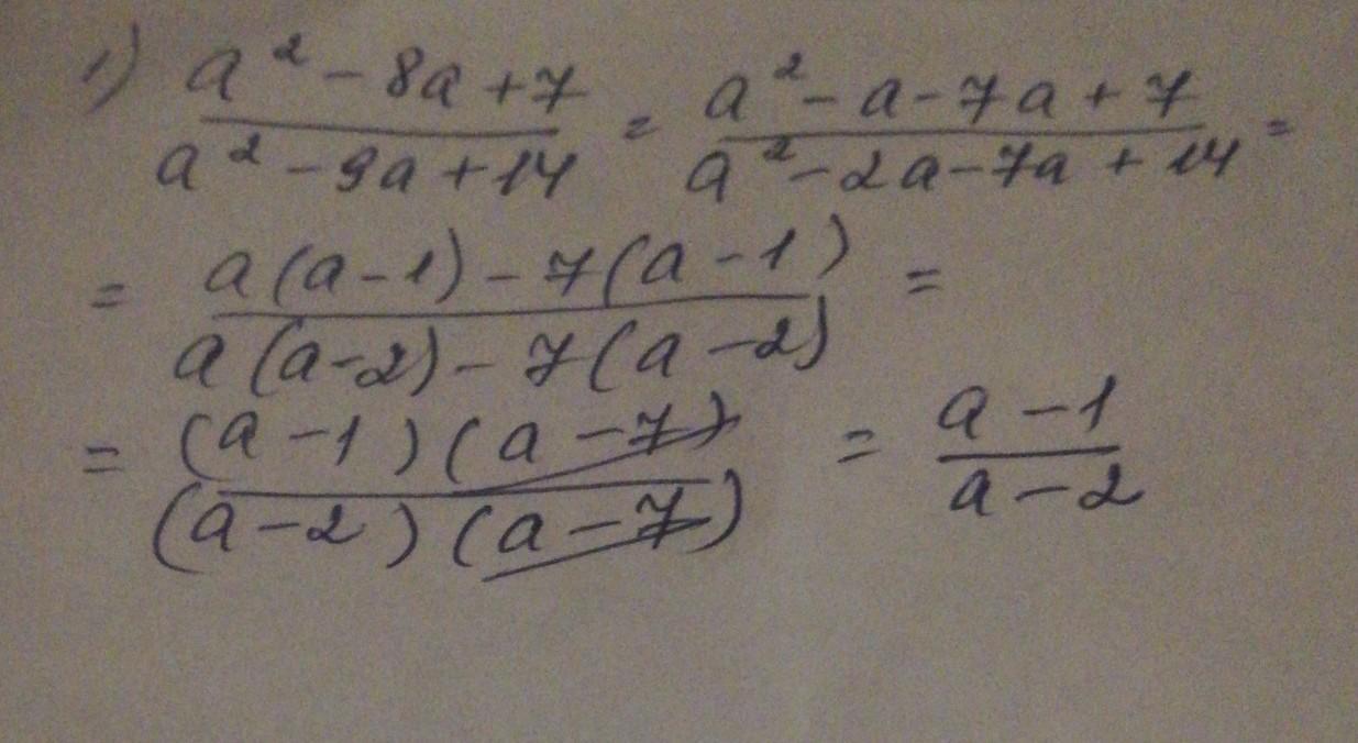
Скоротити дріб (який на фото)

Приложения:

Ответы

Ответ дал: BRUH222
0

Ответ:

а-1/а-2

Объяснение:


gw22azarovaanhelina: Потрібно з поясненням
Ответ дал: larisaserova53
2

Ответ:

Смотри решение на фото..

Приложения:
Вас заинтересует