• Предмет: Алгебра
  • Автор: gw22azarovaanhelina
  • Вопрос задан 2 года назад

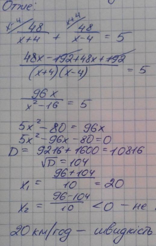
Теплохід пройшов за течією річки 48 км і стільки само проти течії, затративши на весь шлях 5 год. Знайти влас­ну швидкість теплохода, якщо швидкість течії річки ста­новить 4 км/год.

Ответы

Ответ дал: Klymchko
0

Ответ:

решение написал всё фооо не вместилось только самое главное

Приложения:
Вас заинтересует