• Предмет: Алгебра
  • Автор: iphonehappylife
  • Вопрос задан 2 года назад

Помоги пожалуйста с 3 заданием. Тема: « Степінь ж довільним показником»

Приложения:

Ответы

Ответ дал: NNNLLL54
0

Ответ:

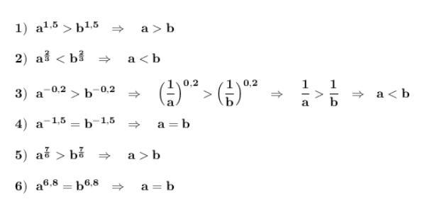
Функция   \bf y=x^{n}  возрастающая при  \bf x > 0  , то есть из того, что

\bf x^{n} > x^{m}  следует  \bf n > m  .      

\bf a > 0\ ,\ b > 0  

\bf 1)\ \ a^{1,5} > b^{1,5}\ \ \Rightarrow \ \ \ a > b\\\\ 2)\ \ a^{\frac{2}{3}} < b^{\frac{2}{3}}\ \ \Rightarrow \ \ \ a < b\\\\ 3)\ \ a^{-0,2} > b^{-0,2}\ \ \Rightarrow \ \ \ \Big(\dfrac{1}{a}\Big)^{0,2} > \Big(\dfrac{1}{b}\Big)^{0,2}\ \ \Rightarrow \ \ \ \dfrac{1}{a} > \dfrac{1}{b}\ \ \Rightarrow \ \ a < b\\\\ 4)\ \ a^{-1,5}=b^{-1,5}\ \ \Rightarrow \ \ \ a=b\\\\ 5)\ \ a^{\frac{7}{6}} > b^{\frac{7}{6}}\ \ \Rightarrow \ \ \ a > b\\\\ 6)\ \ a^{6,8}=b^{6,8}\ \ \Rightarrow \ \ \ a=b  

Приложения:
Вас заинтересует