• Предмет: Алгебра
  • Автор: farbusov
  • Вопрос задан 2 года назад

Даю 100 балів! Допоможіть четверте, з поясненням, будь ласка

Приложения:

Ответы

Ответ дал: NNNLLL54
1

Ответ:

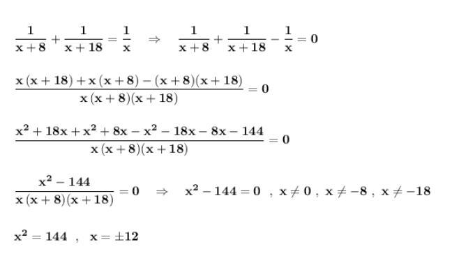
Пусть два слесаря, работая вместе, выполняют задание за х  дней .

Тогда их совместная производительность равна  1/х  задания за 1 день

1-ый слесарь может выполнить всё задание за (х+8)  дней .

Тогда его производительность равна  1/(х+8)  задания за 1 день .

2-ой слесарь может выполнить всё задание за (х+18)  дней .

Тогда его производительность равна  1/(х+18)  задания за 1 день .

Можно записать совместную производительность двух слесарей в

виде суммы   1/(х+8) + 1/(х+18)  задания за 1 день .

Составим уравнение .

\bf \dfrac{1}{x+8}+\dfrac{1}{x+18}=\dfrac{1}{x}\ \ \ \Rightarrow \ \ \ \dfrac{1}{x+8}+\dfrac{1}{x+18}-\dfrac{1}{x}=0\\\\\\\dfrac{x\, (x+18)+x\, (x+8)-(x+8)(x+18)}{x\, (x+8)(x+18)}=0\\\\\\\dfrac{x^2+18x+x^2+8x-x^2-18x-8x-144}{x\, (x+8)(x+18)}=0\\\\\\\dfrac{x^2-144}{x\, (x+8)(x+18)}=0\ \ \ \Rightarrow \ \ \ x^2-144=0\ \ ,\ x\ne 0\ ,\ x\ne -8\ ,\ x\ne -18\\\\\\x^2=144\ \ ,\ \ x=\pm 12  

По смыслу задачи на подходит отрицательный корень .

Ответ: 12 дней потребуется слесарям на совместное выполнение задания .

Приложения:

2006gamaua: здравствуйте, помогите пожалуйста с заданиями в моем профиле заранее спасибо огромное
Аноним: NNNLLL54, здравствуйте! у меня в профиле 10 заданий по алгебре, можете помочь пожалуйста?
Вас заинтересует