• Предмет: Алгебра
  • Автор: esminakaraosman15
  • Вопрос задан 2 года назад

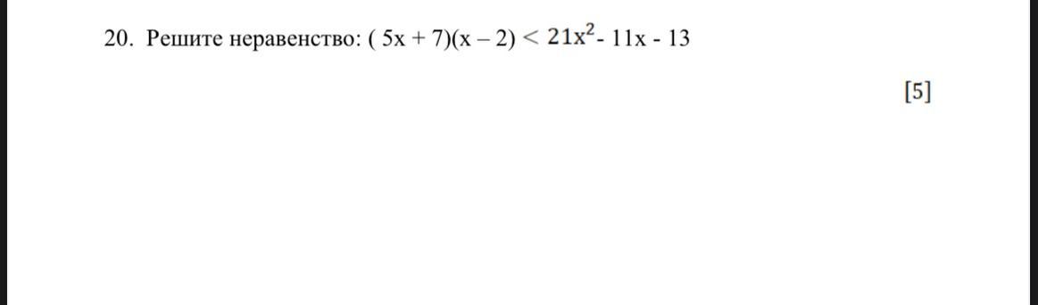
помогите пожалуйста

Приложения:

Ответы

Ответ дал: lakizukaleksandr
0

Объяснение:

Решение на фото.......

Приложения:
Вас заинтересует