• Предмет: Алгебра
  • Автор: ajmanhusajnova13
  • Вопрос задан 2 года назад

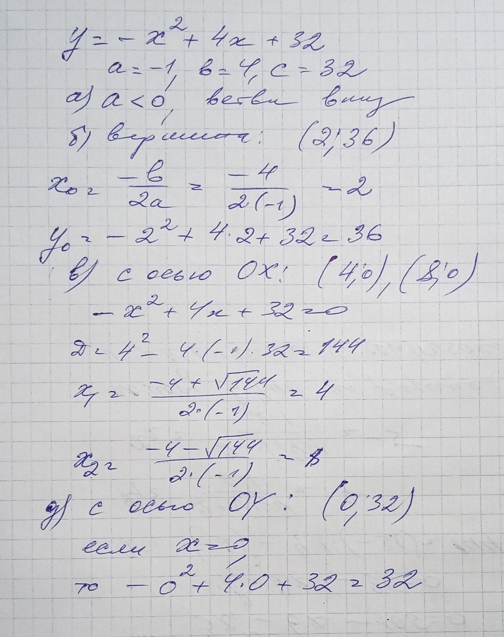
16. Дана квадратная функция у = -х² + 4x + 32. а) определите направление ветвей параболы; б) найдите координаты вершины параболы; в) определите координаты точки пересечения параболы с осью абцисс; д) определите координаты точки пересечения параболы с осью ординат​

Приложения:

roown: хочу +30 Б.

Ответы

Ответ дал: roown
2

Ответ:

решение на фото

Объяснение:

Приложения:
Вас заинтересует