Ответы
Ответ дал:
1
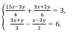
сори что фото перевернутое
Приложения:

aleksejumajlasindeu:
Спасибі
Вас заинтересует
1 год назад
1 год назад
1 год назад
1 год назад
3 года назад
3 года назад
8 лет назад