• Предмет: Алгебра
  • Автор: Slavon4k
  • Вопрос задан 2 года назад

Помогите решить пример пожалуйста

Приложения:

Ответы

Ответ дал: NNNLLL54
1

Ответ:

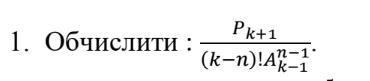
Формула для вычисления размещений :

\bf A_{n}^{m}=\dfrac{n!}{(n-m)!}=n\cdot (n-1)\cdot ...\cdot (n-m+1)  

Формула для вычисления перестановок :  

\bf P_{n}=n!=1\cdot 2\cdot 3\cdot ...\cdot (n-1)\cdot n        

\bf \dfrac{P_{k+1}}{(k-n)!\cdot A_{k-1}^{n-1}}=\dfrac{(k+1)!}{(k-n)!\cdot \dfrac{(k-1)!}{(k-1-(n-1))!}}=\dfrac{(k+1)!\, (k-n)!}{(k-n)!\, (k-1)!}=\\\\\\=\dfrac{(k+1)!}{(k-1)!}=\dfrac{(k-1)!\, \cdot k\cdot (k+1)}{(k-1)!}=k\cdot (k+1)=k^2+k  

Приложения:
Вас заинтересует