• Предмет: Алгебра
  • Автор: polinashapovalova7
  • Вопрос задан 2 года назад

швидко
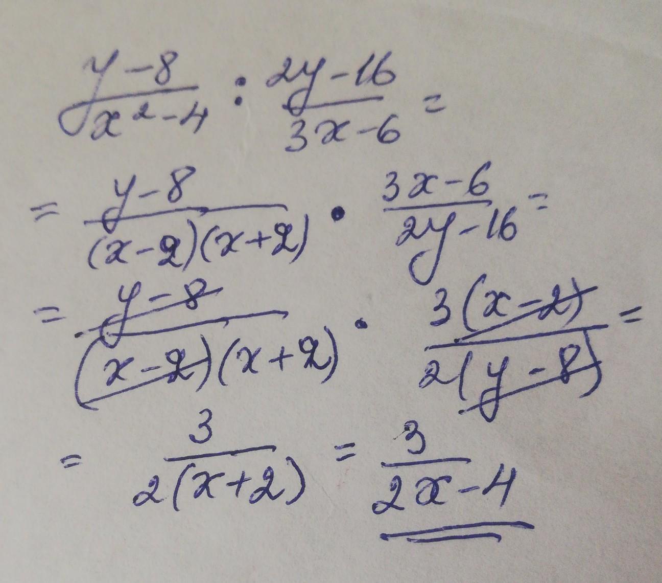
Спростіть вираз: у-8/x²-4 : 2y-16/3x-6​

Ответы

Ответ дал: larisaserova53
1

Ответ:

Смотри решение на фото..

Приложения:

polinashapovalova7: дякую
Вас заинтересует