• Предмет: Алгебра
  • Автор: ColetteLov
  • Вопрос задан 2 года назад

Здравствуйте! Мне тут срочно нужна помощь, отдам сто балов и заранее спасибо за ответ^^

Приложения:

MizoriesKun: Домножьте обе части уравнения на 10, избавьтесь от дробей))

Ответы

Ответ дал: MizoriesKun
1

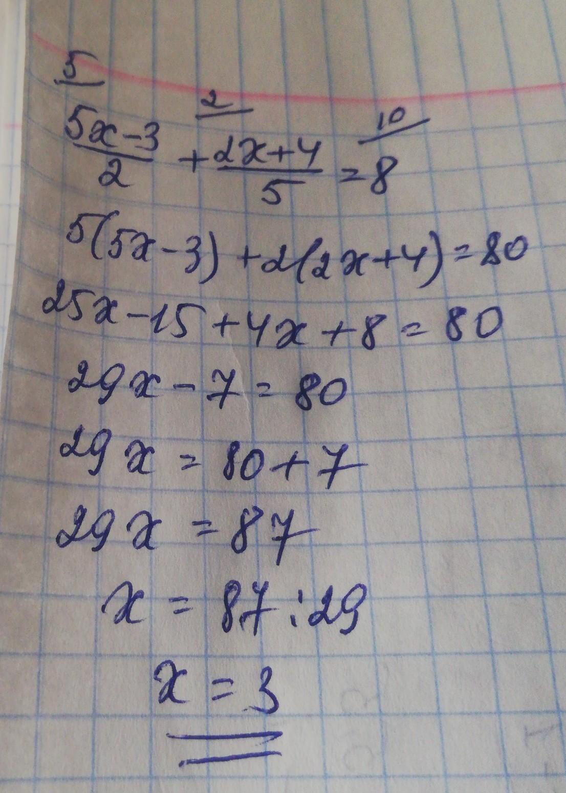
Смотри.......................

Приложения:
Ответ дал: larisaserova53
1

Ответ:

Смотри решение на фото..

Приложения:
Вас заинтересует