• Предмет: Алгебра
  • Автор: szubik45
  • Вопрос задан 2 года назад

ПОМОГИТЕ ДЗ ПОЖАЛУЙСТА РЕШИТЬ ВСЕМИ СПОСОБАМИ
ДАЮ 50 БАЛЛОВ

Приложения:

Ответы

Ответ дал: lakizukaleksandr
0

Объяснение:

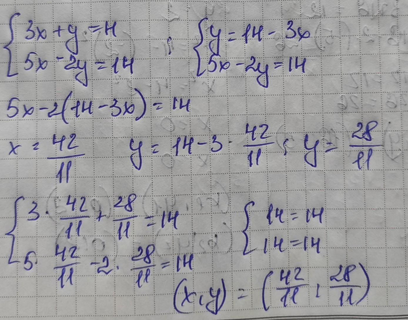
Решение на фото.......

Приложения:

szubik45: можешь расписать где какой способ?
lakizukaleksandr: Я решил одним способом, внизу проверка чисел
szubik45: задание читай я попросил всеми тремя
szubik45: каждым способом
lakizukaleksandr: хамить будешь маме своей это во первых, во вторых ты не писал решить тремя способами а просто написал решить всеми способами, я решил одним только способом.
szubik45: я имел ввиду решить всеми способами одновременно
szubik45: я не хамлю просто теперь эти 50 баллов которые из за тебя слетели мне опять копить
Вас заинтересует