Ответы
Ответ дал:
0
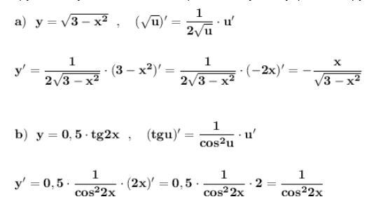
Решение.
Производные функций находим по правилам дифференцирования .
Производная сложной функции равна производной внешней функции, умноженной на производную внутренней функции .
Приложения:

Вас заинтересует
1 год назад
1 год назад
1 год назад
1 год назад
2 года назад
2 года назад
8 лет назад