• Предмет: Математика
  • Автор: sofiaaksonova941
  • Вопрос задан 2 года назад

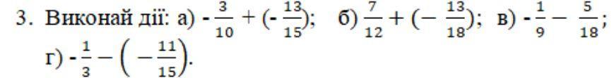
Допоможіть терміново, будь ласка

Приложения:

Ответы

Ответ дал: zau4ywka3004
1

Ответ:

...........................

Приложения:
Вас заинтересует