• Предмет: Алгебра
  • Автор: daryaz07p56hw6
  • Вопрос задан 2 года назад

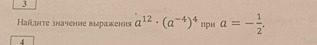
помогите упростить и решить выражение!

Приложения:

Ответы

Ответ дал: claemor
1

a^{12} * (a^{-4} )^{4} = a^{12} * \frac{1}{a^{16}} = \frac{1}{a^{4}}

При a=-\frac{1}{2},  \frac{1}{a^{4} } = 16

Ответ: 16

Вас заинтересует