Ответы
Ответ дал:
1
Ответ:
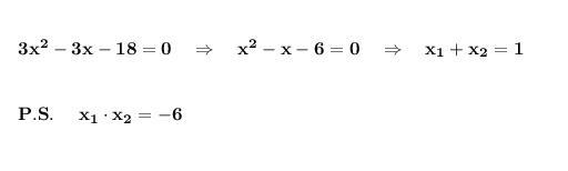
Применяем теорему Виета .
Приложения:

kimkarina953:
Не могли бы мне помочь с алгеброй пожалуйста умоляюю
Вас заинтересует
1 год назад
1 год назад
1 год назад
2 года назад
2 года назад
8 лет назад