Решите 3 неравенства и объясните пожалуйста пошагово каким образом переставляются цифры и почему все решается именно так, не по Photomath а по настоящему решите и помогите понять принцип решения умоляю
Приложения:



Ответы
Ответ дал:
0
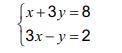
1)
x+3y=8
3x-y=2
x=8-3y
3*(8-3y)-y=2
x=8-3y
24-9y-y=2
x=8-3y
-10y=-22
y=2,2
x= 8-3*2,2= 1,4
Ответ: (1,4; 2,2)
2)
x-2y=-5
4x+3y=-9
x=-5+2y
4*(-5+2y)+3y=-9
x= 2y-5
-20+8y+3y=-9
x=2y-5
11y= 11
y= 1
x=2*1-5= -3
Ответ: (-3; 1)
3)
13(1-x)>39
(x+8)/3<3
13-13x>39
x+8<9
-13x>26
x<1
x<-2
x<1
Ответ: x∈(-∞;-2)
Вас заинтересует
1 год назад
1 год назад
2 года назад
2 года назад