• Предмет: Математика
  • Автор: ponponda727292
  • Вопрос задан 2 года назад

срочно, решите задачу, пжпжпж

Приложения:

Ответы

Ответ дал: gaga04
0

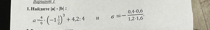
a = (4 / 9) * (-(1 + 1/2)) ^ 3 + 4.2 / 4

a = -4 / 9 * 1.5 ^ 3 + 1.05

a = -4 / 6 * 1.5 ^ 2 + 1.05

a = -4 / 4 * 1.5 + 1.05

a = -1.5 + 1.05

a = -0.45

b = -(0.4 * 0.6) / (1.2 * 1.6)

b = -(1 * 0.6) / (1.2 * 4)

b = -(1 * 1) / (2 * 4)

b = -1 / 8

b = -0.125

|a| = |-0.45| = 0.45

|b| = |-0.125| = 0.125

|a| - |b| = 0.45 - 0.125 = 0.325

Ответ: 0.325.

Вас заинтересует