• Предмет: Математика
  • Автор: 2006gamaua
  • Вопрос задан 2 года назад

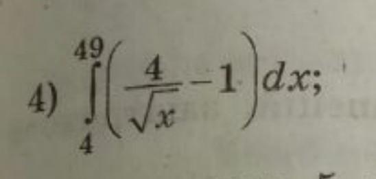
Обчисліть інтеграл, завдання на фото

Приложения:

Ответы

Ответ дал: ludmilaksenija2005
1

Пошаговое объяснение:

∫⁴⁹(4/√х -1)dx=∫(4/x½ -1)dx=

=∫4/x½dx-∫1dx=4∫1/x½dx-x=

=4•2√x -x=8√x-x|⁴⁹=

=8√49-49-(8√4-4)=8•7-49-8•2+4=

=56-49-16+4= -5


2006gamaua: спасибо, буду рада если поможете и с остальными заданиями))
Вас заинтересует