• Предмет: Математика
  • Автор: annastrogan37
  • Вопрос задан 2 года назад

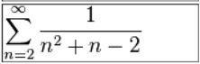
найти сумму числового ряда

Приложения:

Ответы

Ответ дал: liftec74
1

Ответ:  11/18

Пошаговое объяснение:  см файл

Приложения:

liftec74: Так верно или нет ?
Вас заинтересует